5 Essential Steps for Custom Mobile Application Development
August 15, 2025
Alex Shubin | Founder & CEO at SDA

Overview
The five essential steps for custom mobile application development are pivotal:
- Defining goals and conducting market research
- Planning features and creating wireframes
- Choosing the right development method
- Implementing quality assurance and testing
- Focusing on post-launch improvement and user feedback
Each of these steps is critical for ensuring that the app not only meets user needs but also functions effectively and adapts to market demands. This strategic approach significantly enhances the chances of success in a competitive landscape. By adhering to these steps, developers can position their applications for optimal performance and user satisfaction.
Introduction
In a rapidly evolving digital landscape, the demand for custom mobile applications has surged, with the global market projected to soar to $756 billion by 2027. To navigate this competitive terrain successfully, developers must follow a strategic roadmap that includes:
- Defining goals
- Conducting thorough market research
- Emphasizing the importance of user feedback
- Ensuring quality assurance throughout the development process
However, with so many steps involved, how can developers ensure they are not only meeting market expectations but also creating an app that retains users and fosters loyalty?
Define Goals and Conduct Market Research
Before embarking on , it is imperative to define clear objectives. Establish the primary purpose of the app—whether it aims to address a specific issue, enhance engagement, or drive sales.
is crucial for understanding the competitive landscape, identifying target audiences, and uncovering their challenges. Employ surveys, focus groups, and competitor analysis to gather valuable insights. Notably, , underscoring the necessity of comprehensive market research to meet expectations and improve retention.
This foundational step guarantees that the application is not only viable but also strategically positioned to effectively meet the needs of its audience. With the anticipated to reach $756 billion by 2027, and with 88% of mobile time spent in apps, grasping is essential for success in a competitive arena.
Companies that leverage can maintain control over their data and gain tailored insights, enabling them to swiftly adapt to consumer feedback.

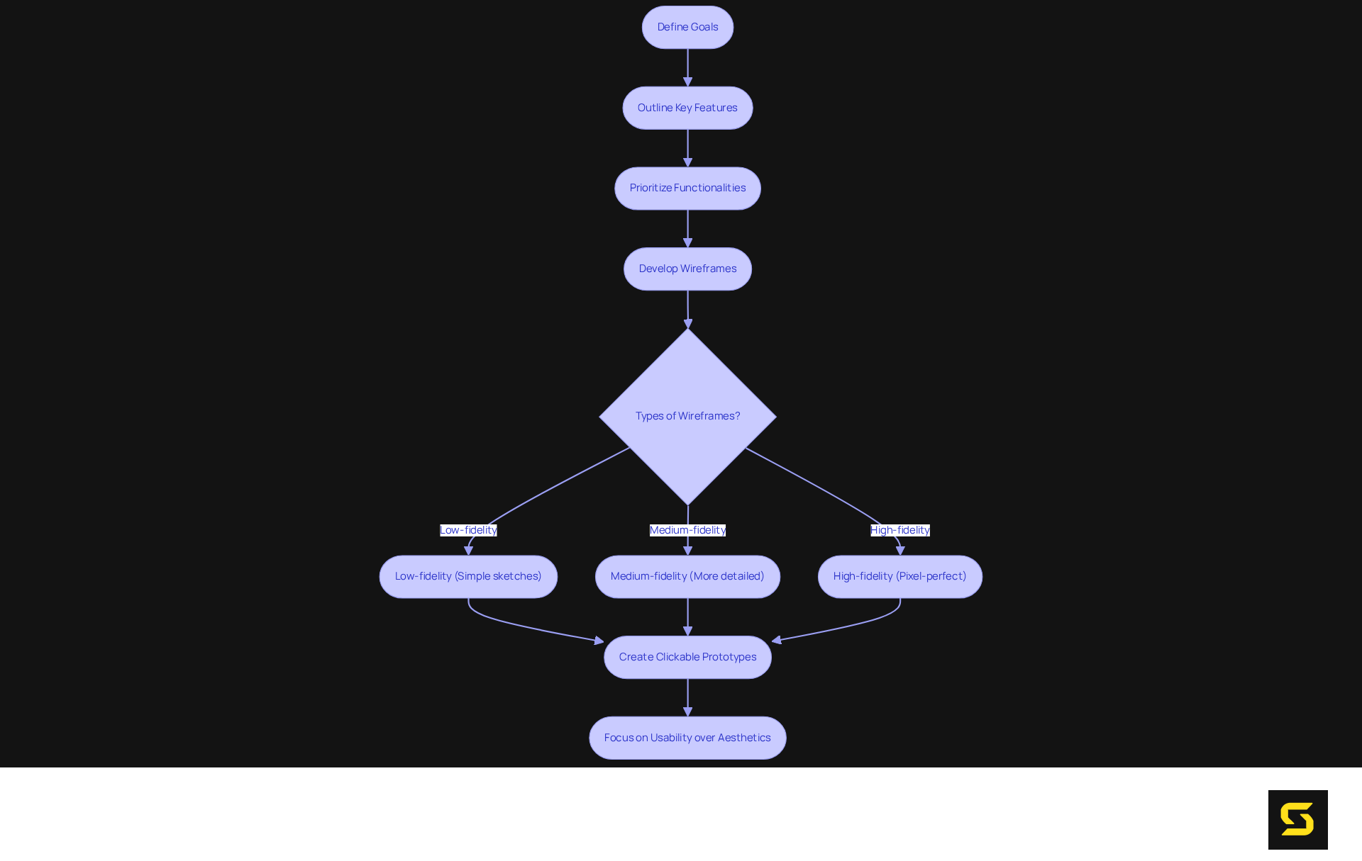
Plan Features and Create Wireframes
Once goals are defined, the next crucial step is to outline the key features of the application. Prioritizing functionalities based on client needs and . Developing wireframes enables a visual depiction of the app's layout and interface, which is a pivotal aspect of the design process. There are three types of wireframes:
- Low-fidelity
- Medium-fidelity
- High-fidelity
Each serving distinct purposes. This process not only helps in identifying potential usability issues early on but also facilitates discussions among stakeholders. As Kapil Antala observes, with greater accuracy. Tools such as Sketch or Figma can be employed to , allowing stakeholders to visualize the before the project commences. Furthermore, 5 Essential Steps for Successful Marketplace Creation into , a critical step for evaluating usability. However, it is imperative to avoid an excessive focus on aesthetics at the expense of functionality during the wireframing process. In 2025, the in cannot be overstated; they streamline the design process and significantly contribute to the overall success of the application.

Choose the Right Development Method
Selecting the appropriate approach is crucial for . , such as Scrum, facilitate iterative progress and adaptability, making them ideal for projects where requirements may shift. Conversely, the for projects with well-defined requirements.
To determine the , . Involving the team in this is essential, as it ensures that the selected method aligns with their strengths and capabilities.

Implement Quality Assurance and Testing
Implementing a robust (QA) strategy is not just beneficial; it is . Testing must commence early in the development lifecycle and persist through to launch, ensuring that potential issues are identified and addressed promptly.
By utilizing the latest —such as AI-driven frameworks and cloud-based solutions—teams can enhance efficiency and consistency, executing assessments across various environments seamlessly.
It is imperative to perform a , including:
- Functional evaluations
- Usability evaluations
- Performance evaluations
- Security evaluations
Involving actual participants in beta testing, along with that replicate real-world situations—such as weak internet connections and low battery—provides essential feedback, enabling developers to prior to the official launch.
This comprehensive strategy not only but also significantly boosts retention by implementing to ensure a smooth and dependable user experience.

Focus on Post-Launch Improvement and User Feedback
Upon launching the application, it is imperative to shift focus towards and analyzing app performance.
- Employ analytics tools to meticulously .
- Encourage users to voice their opinions through in-app surveys or evaluations.
- By , you not only but also cultivate unwavering loyalty.
- Develop a , ensuring that the application evolves in harmony with user expectations and the .

Conclusion
The journey of custom mobile application development is marked by essential steps that ensure the creation of a successful and user-centric product. By defining clear goals and conducting thorough market research, developers can align their applications with user expectations and industry demands. This foundational work sets the stage for a well-informed approach to design and functionality, ultimately leading to enhanced user engagement and satisfaction.
Recapping the critical steps, it is imperative to emphasize the importance of:
- Planning features and creating wireframes
- Selecting the right development methodology
- Implementing rigorous quality assurance
- Focusing on post-launch improvements
Each of these stages plays a vital role in refining the application, from initial concept through to user feedback and ongoing enhancements. By leveraging tools and methodologies suited to their specific projects, developers can navigate the complexities of mobile app development with greater confidence and efficiency.
In a rapidly evolving mobile landscape, the significance of a strategic and user-oriented approach cannot be overstated. Embracing these best practices not only fosters the creation of high-quality applications but also cultivates lasting relationships with users. As the mobile app market continues to expand, staying attuned to user feedback and technological advancements will be crucial for ongoing success. Therefore, taking these essential steps is not just a recommendation; it is a necessity for anyone looking to thrive in the competitive realm of mobile application development.
FAQ
Why is it important to define goals before mobile application development?
Defining clear objectives is crucial to establish the primary purpose of the app, whether it is to address a specific issue, enhance engagement, or drive sales. This foundational step ensures the application is viable and strategically positioned to meet audience needs.
What role does market research play in mobile application development?
Market research is essential for understanding the competitive landscape, identifying target audiences, and uncovering their challenges. It helps in gathering valuable insights through surveys, focus groups, and competitor analysis, which can improve user retention and meet expectations.
What statistics highlight the importance of market research in app development?
Nearly one-third of users uninstall an app after the first use, emphasizing the need for comprehensive market research to enhance user satisfaction and retention.
How can companies benefit from in-house research platforms?
Companies that leverage in-house research platforms can maintain control over their data and gain tailored insights, enabling them to quickly adapt to consumer feedback.
What is the next step after defining goals in the app development process?
The next step is to outline the key features of the application, prioritizing functionalities based on client needs and business objectives.
What are wireframes, and why are they important in app development?
Wireframes are visual representations of the app's layout and interface that help identify potential usability issues early on. They facilitate discussions among stakeholders and assist in assessing the app creation project with greater accuracy.
What types of wireframes are there, and what purposes do they serve?
There are three types of wireframes: low-fidelity, medium-fidelity, and high-fidelity, each serving distinct purposes in the design process.
What tools can be used to create wireframes and prototypes?
Tools such as Sketch and Figma can be employed to create interactive prototypes, allowing stakeholders to visualize the user journey and provide feedback before the project begins.
Why is it important not to focus excessively on aesthetics during the wireframing process?
It is crucial to avoid an excessive focus on aesthetics at the expense of functionality, as usability is a critical factor for the success of the application.
What is the significance of wireframes in custom mobile application development by 2025?
Wireframes streamline the design process and significantly contribute to the overall success of the application, making them an indispensable part of custom mobile application development.
